| 일 | 월 | 화 | 수 | 목 | 금 | 토 |
|---|---|---|---|---|---|---|
| 1 | 2 | 3 | ||||
| 4 | 5 | 6 | 7 | 8 | 9 | 10 |
| 11 | 12 | 13 | 14 | 15 | 16 | 17 |
| 18 | 19 | 20 | 21 | 22 | 23 | 24 |
| 25 | 26 | 27 | 28 | 29 | 30 | 31 |
Tags
- Unity
- APP
- UNO
- Binary
- wpf
- digitalRead
- Class
- Gradient
- edge
- stream
- parameter
- memory
- c++
- Filtering
- atmega328
- Android
- aduino
- file access
- subpixel
- Contour
- Pointer
- flutter
- Read
- public
- Gaussian
- compare
- Encapusulation
- SERIAL
- mfc
- sensor
Archives
- Today
- Total
폴크(FOLC)
치수 계산하기 - smooth filtering 5 본문
728x90
반응형
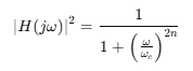
Butterworth Filter
- 매끄럽고 평탄한 주파수 응답 (통과대역에서 ripple이 없음).
- 필터 차수가 증가할수록 롤오프가 더 급격해짐.
특징
- 응답이 가장 "부드러운" 필터
- 급격한 에지 응답은 부족하지만 안정적
주파수 응답 (저역통과 기준)

728x90
반응형
사업자 정보 표시
사업자 등록번호 : -- | TEL : --