| 일 | 월 | 화 | 수 | 목 | 금 | 토 |
|---|---|---|---|---|---|---|
| 1 | 2 | 3 | 4 | |||
| 5 | 6 | 7 | 8 | 9 | 10 | 11 |
| 12 | 13 | 14 | 15 | 16 | 17 | 18 |
| 19 | 20 | 21 | 22 | 23 | 24 | 25 |
| 26 | 27 | 28 | 29 | 30 |
- Gradient
- memory
- Unity
- Read
- c++
- parameter
- Gaussian
- wpf
- Android
- atmega328
- stream
- UNO
- Filtering
- edge
- public
- sensor
- Class
- mfc
- SERIAL
- APP
- flutter
- Encapusulation
- Contour
- file access
- compare
- subpixel
- Pointer
- aduino
- digitalRead
- Binary
- Today
- Total
폴크(FOLC)
치수 계산하기 - smooth filtering 7 본문
Elliptic 필터(= Cauer filter)는 가장 급격한 주파수 전이 특성을 가지는 IIR 필터입니다. 동일한 필터 스펙(통과대역, 저지대역, ripple, 차단 감쇠)을 만족시키는 필터 중 **가장 낮은 차수(order)**로 구현 가능
- 실시간 DSP, 고정밀 신호 처리, 자원 제약 환경 등에 매우 유리합니다.
Elliptic Filter란?
- 통과대역과 저지대역 모두에 ripple이 존재.
- **Elliptic 함수 (Jacobian elliptic function)**을 이용해 설계.
- Butterworth, Chebyshev보다 더 적은 차수로 동일 성능 구현 가능.
설계 파라미터
| Order (차수) | 필터의 sharpness 및 정확도 결정 |
| Passband ripple (rpr_p) | 통과대역에서 허용되는 최대 리플 (dB) |
| Stopband attenuation (rsr_s) | 저지대역에서 요구되는 최소 감쇠량 (dB) |
| Cutoff freq | 컷오프 주파수 |
| Sampling rate | 디지털 필터이므로 필수 |
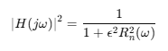
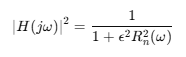
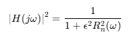
주파수 응답 형태

- Rn : nth-order elliptic rational function (특수함수)
- 통과대역/저지대역 모두에서 잔류 리플 존재
- 가장 빠른 roll-off 제공
예제
#include <vector>
class EllipticIIR {
public:
EllipticIIR(const double* b, const double* a, int order)
: b(b), a(a), order(order) {
w.assign(order, 0.0);
}
double process(double x) {
double y = b[0] * x + w[0];
for (int i = 1; i < order; ++i) {
w[i - 1] = b[i] * x + w[i] - a[i] * y;
}
w[order - 1] = -a[order] * y;
return y;
}
private:
const double* b;
const double* a;
int order;
std::vector<double> w;
};
#include <iostream>
const double b_ellip[5] = {
0.01967436, -0.01713698, 0.0332899, -0.01713698, 0.01967436
};
const double a_ellip[5] = {
1.0, -3.03300954, 3.81179517, -2.29109673, 0.55535694
};
int main() {
EllipticIIR filter(b_ellip, a_ellip, 5); // 4차 → 계수 5개
for (int i = 0; i < 50; ++i) {
double input = (i % 2 == 0) ? 1.0 : -1.0; // 고주파 성분 포함 신호
double output = filter.process(input);
std::cout << "input: " << input << "\toutput: " << output << std::endl;
}
return 0;
}