| 일 | 월 | 화 | 수 | 목 | 금 | 토 |
|---|---|---|---|---|---|---|
| 1 | 2 | 3 | ||||
| 4 | 5 | 6 | 7 | 8 | 9 | 10 |
| 11 | 12 | 13 | 14 | 15 | 16 | 17 |
| 18 | 19 | 20 | 21 | 22 | 23 | 24 |
| 25 | 26 | 27 | 28 | 29 | 30 | 31 |
- Binary
- wpf
- edge
- compare
- Gradient
- Read
- Gaussian
- parameter
- SERIAL
- stream
- Class
- mfc
- subpixel
- APP
- UNO
- Filtering
- Unity
- Contour
- aduino
- Encapusulation
- memory
- c++
- flutter
- sensor
- public
- file access
- digitalRead
- Pointer
- Android
- atmega328
- Today
- Total
폴크(FOLC)
치수 계산하기 - smooth filtering 8 본문
Wavelet Denoising은 신호의 주파수와 시간 정보를 동시에 고려하여 노이즈를 제거하는 고급 기법
- 특히 경계(에지)를 보존하면서 노이즈를 억제하는 데 효과적이며, 의료 신호, 이미지, 음향 신호, 과학 데이터 등에 널리 사용됩니다.
Wavelet Denoising은 다음 세 단계로 수행됩니다:
1 단계 : Wavelet Transform: 입력 신호를 다중 해상도(다양한 주파수)로 분해.
2 단계 : Thresholding: 노이즈가 주로 포함된 세부 계수(detail coefficients)에 임계값을 적용해 제거.
3 단계 : Inverse Transform: 노이즈가 제거된 계수를 기반으로 신호를 복원.
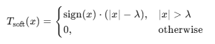
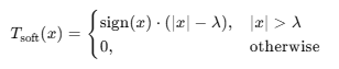
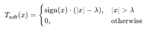
1D Soft Thresholding:

예제
#include <iostream>
#include <vector>
#include <cmath>
#include <algorithm>
// Soft thresholding
double softThreshold(double val, double lambda) {
if (std::abs(val) <= lambda) return 0.0;
return (val > 0) ? (val - lambda) : (val + lambda);
}
// 1-Level Haar Wavelet Decomposition + Denoising + Reconstruction
std::vector<double> waveletDenoise(const std::vector<double>& signal, double lambda) {
int N = signal.size();
int half = N / 2;
std::vector<double> approx(half), detail(half);
// Haar Transform (decomposition)
for (int i = 0; i < half; ++i) {
approx[i] = (signal[2 * i] + signal[2 * i + 1]) / std::sqrt(2.0);
detail[i] = (signal[2 * i] - signal[2 * i + 1]) / std::sqrt(2.0);
}
// Thresholding (soft)
for (int i = 0; i < half; ++i) {
detail[i] = softThreshold(detail[i], lambda);
}
// Inverse Haar Transform (reconstruction)
std::vector<double> denoised(N);
for (int i = 0; i < half; ++i) {
denoised[2 * i] = (approx[i] + detail[i]) / std::sqrt(2.0);
denoised[2 * i + 1] = (approx[i] - detail[i]) / std::sqrt(2.0);
}
return denoised;
}
int main() {
std::vector<double> signal = {1.2, 0.9, 1.1, 1.0, 10.0, 10.2, 9.9, 10.1}; // 신호 + 잡음
double lambda = 0.5;
std::vector<double> denoised = waveletDenoise(signal, lambda);
std::cout << "Original vs Denoised:\n";
for (size_t i = 0; i < signal.size(); ++i) {
std::cout << "x[" << i << "] = " << signal[i]
<< "\t=>\t" << denoised[i] << std::endl;
}
return 0;
}